How Will You Die?
Even if you can stop aging, you'll still die. The only question is what will kill you.
How do you imagine you will die? Statistically speaking, if you are not currently driving in rush-hour traffic at high speeds while texting or sitting on the serengeti with a pack of ravenous lions, the answer is probably cancer or heart disease. Both of which become increasingly likely as we age, and aging is inevitable.
Now imagine, for the sake of argument, that you do not age.1 However, in this world, you are just as mortal as you are today. The high-speed automobile accident, terminal cancer, or the roving bands of predators are all equally fatal. You simply will not age.
In this world, you will most certainly not live forever. The only question is, “how will you die?”
Micromorts
What has changed is the underlying probability distribution in question. A useful construct is the idea of a “micromort2,” a unit of risk that represents one chance in one million of death. We accept micromorts implicitly as we go about our lives.
For instance, driving ~250 miles carries with it one micromort. So too does living two months with a smoker, or crossing the street while drunk. With respect to driving, the back of the envelope math suggests that we may as well enjoy the convenience and incur the risk.
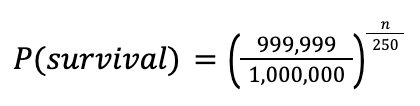
The probability of driving a vehicle n miles, and surviving, is given (approximately3) as:

The break-even point is easily found:

Unless you attempt the cannonball run challenge every day of your 100-year life, it is far more likely that something other than an automobile accident will kill you. Most likely, one of the diseases of aging. But in this world, where you do not age, drive enough, and ultimately, you perish.
Existential Risks
It becomes clear that in the world without aging, certain risks of a violent, immediate demise become increasingly probable. Stick around long enough, and you’re bound to be too close to a nuclear war. Every era’s Putin presents their own set of existential risks, and when analysts from Goldman Sachs begin prognosticating about the plausibility of economic collapse from a strategically-cornered Russia deploying nuclear weapons, we should heed the warning.
Exposure to carcinogens creates a cumulative risk that, over time, increases its probability of ultimately claiming your life. Will you eschew all sunlight, rather than accumulate the micromorts of UV rays?
Imagine that, each year, there is a probability pn of any nation with nuclear weapons falling into a state of disarray that begets a nuclear conflict. Then, let’s assume that the probability of you living close enough to the fallout to either perish in the ensuing war or receive a fatal dose of radiation is pr.
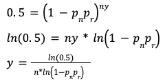
Now, the probability of you surviving y years without such an adverse event is given (approximately) by4:

Where n is the number of nations with nuclear arsenals.
Your break-even point looks like this:

Plug in some numbers. If n, pn, or pr grow to any significant size, suddenly, the risks of heart disease might seem mild in comparison. Let’s try some:

You probably won’t make it 385 years, but imagine if the parameters were slightly less sanguine. Add a few more nations with nuclear arsenals, a slightly more unstable world, and slightly more devastating weaponry…

Now suddenly, for a young person, the probability of nuclear war truncating their life becomes far closer to a coin flip.
In a certain world, and one that might not be as different from the current version than we would like to imagine, nuclear weapons are more likely to end our lives than cancer and heart disease.
Tradeoffs
In a world of natural senescence, in all likelihood we’ll all grow old and die long before any specific risk factor ends our life. This is why most folks do not meet their end in fiery automobile accidents or in nuclear holocausts. Most of us will succumb to the ravages of aging. As a result, concerning ourselves with those risks seems like a better allocation of our focus and resources.
But in a world without aging, suddenly, it is those existential risks that become the primary mortality risks.
Consider the global pandemic. When the pandemic began (pre-vaccine), you expected y quality-adjusted-life-years (QALYs) remaining before your death.7 Also imagine that the infection fatality rate of COVID, for you, is f.8
Living life with pre-pandemic cavalierness, you would have incurred a probability p9 of acquiring an infection whose expected loss, in QALYs would be simply y * f * p.
In other words, the decision to eschew all precautions (commentary about ethical obligations to prevent communal spread notwithstanding) removed yfp QALYs from your life.
So what was the cost associated with the prevention of this loss? Imagine that you behaved cautiously. For those among us fortunate enough to remain employed during the pandemic, one year of Zoom meetings, Amazon Prime deliveries, and fast-casual carry-in while binge-watching Tiger King was certainly a diminishment in quality-of-life, but also assuredly not the loss of a full QALY.
Let’s assume this pandemic life cost you some value, δ, QALYs/yr. This number differs as a function of introversion, geography, cohabitants, and one’s opinion of Jeff Bezos, but is definitely greater than 0 and less than 1.
Finally, let’s assume that living prudently did not wholly eliminate your risk of contracting COVID10 - you still needed to open those packages from Amazon, procure groceries, and depending on your employment, incur some personal risk. Let’s imagine you could reduce your risk by 𝜷 (close to 1 if you were a laptop professional living without contact with anyone, much lower as an essential worker, etc).
Finally, we can calculate some break-even points for the costs associated with a lockdown period of duration 𝜆.

Rearranging to solve for 𝜆 yields:

As a point of reference, I’m a relatively young, healthy (knock-wood), introverted professional who can sit in his spare bedroom on a laptop indefinitely. Let’s plug in some values.


In other words, locking down for any period less six months or so was an acceptable price to pay for diminishing personal risk, anything longer, and I ought to have resumed living life and incurred the inevitable risk.
Anti-Aging
Why engage in this hypothetical exercise that is certain to catalyze incendiary discussions of politics and debates over the parameters selected?
Because an observation of the formula above for 𝜆 reveals a clue about the choices we make implicitly. In a world where aging is no longer a concern, y becomes large (not infinite, you’ll still meet your demise eventually). In turn, 𝜆 increases. Paradoxically, when aging is no longer a concern, we should become more cautious rather than more brazen.
Why? Simply, we have more to lose!
Thus, we return to our discussions of micromorts and existential risks of nuclear disasters.
Of course, we do not live in a world without aging. Or do we?
Modern medicine and sanitation has continued to extend human life expectancy. Eliezer Yudkowsky notes the exponential pace at which machine intelligence increases. Perhaps protein folding and the mysteries of aging are just another mathematical problem that will fall after sufficient computational force is applied.
In fact, if Ray Kurzweil is correct, and the singularity is near, it is possible that one day, our consciousness will exist in a digital, rather than biological realm. In that case, “aging” is irrelevant - we’ll only be concerned with data corruption and the lack of sufficiently robust, distributed backup systems!
If these events occur in our lifetimes, then maybe, what will kill most of us will no longer be the traditional maladies of aging.
Rationality
None of the mathematics above suggest we ought to cancel our morning jogs, consume fast food en masse, and skip our annual physicals. If anything, the argument above suggests that even the possibility of reaching an aging-free paradigm justifies some additional concern. Moreover, it argues we ought to consider two disparate flavors of micromorts.
Some micromorts accrue in a cumulative manner. Others do not. To wit, every ~250 miles driven in an automobile are accompanied by a one-in-one-million chance of a grisly demise. However, the risk is non-cumulative. When you return from that 250-mile trip alive, it is akin to having pulled the trigger in Russian roulette and avoided the bullet. The risk is wholly averted (until the next car trip).
In contrast, when you spend the afternoon on the beach (UV radiation) or in the apartment of a rapacious chain-smoker, the fact that you are alive at its conclusion does not imply you’ve gotten off scot-free. Are the mutations that will cause some metastasis in fifty years beginning within your cells? The only available answers are probabilistic.
If you’re already 80, in a world of biological aging, a rationalist might argue that this is hardly of any concern. Incur those cumulative micromorts with impunity!
If you’re 30, in a world that might solve the problem of natural senescence in your lifetime, be especially careful with sources of mortality risk that accumulate, do not dissipate, and are difficult/impossible to measure.
Living & Giving
Given an optimistic view of the future (and optimism is rational), we might reconsider our expenditures of time, focus, and dollars. Attempting to minimize the risks from nuclear proliferation, unstable dictators, autocratic regimes deploying brain-computer-interfaces for nefarious purposes12, malevolent13 AGI, and other existential risks of which effective altruists warn might represent the greatest bang-for-our-buck.
And just maybe, when someone is willing to take risks with their own welfare (and in many cases, by extension, with yours as well) that you personally are not, console yourself with the recognition that implicitly, they are not simply optimistic regarding their short-term odds, but implicitly, pessimistic regarding the long-term prognosis of humanity and aging.
Spock may have inverted his famous adage. To prosper, one should first aspire to live long.
1 The proper term would be an organism lacking “senescence”
2 Not to be confused with “la petit mort,” which might contain a similar risk of death, but is considerably more fun than the other dangers listed hereafter.
3 Yes, I know that as you age, the probability of a car crash becoming fatal increases. Yes, I realize that not all stretches of 250 miles are created equal, nor are they necessarily wholly independent given conditions of the roads and the driver, etc. It’s a blog post. I’m approximating. Move along.
4 And so help me with respect to the assumptions of independence, constancy of nuclear blast radii, the number of countries with nuclear weapons, our capacity to treat radational born illnesses, etc, if you want to make more nuanced assumptions, have at it. I’m in a bed fighting off a fever typing this and I just don’t have that kind of energy.
5 There are currently nine nations with nuclear weapons, let’s assume a nation attacks another with nuclear weapons once per century (pn ~ 0.01), and about 2% of the globe will be destroyed or fatally-irradiated (pr ~ 0.02).
6 Raise the number of nations with nuclear arms to 15, and double the frequency of nuclear attacks and their impacts (pn ~ 0.02), (pr ~ 0.04).
7 Depending on your age, your health, your proximity to potential sources of economic activity and nuclear annihilation, etc.
8 Yes, I realize there is more to consider than simply the infection-fatality-rate, even before the vaccine. Yes, there are also risks of “long COVID” or other potential QALY-diminishing syndromes that linger, but this seems like a simplification that facilitates the argument to come. If you want to account for the long COVID risk, choose a larger number. I won’t tell anyone.
9 Depending on whether your pre-pandemic life consisted of the occasional meal with friends or regular indoor mosh pits.
10 Given the number of reported deaths due to COVID globally (~6M, which is almost certainly underreported, given China, Russia, and other autocracies refusal to report candidly), the fact that are still deaths yet to come from COVID and its future variants, and that there are presumably additional instances of excess mortality as a byproduct of economic hardship and loss of access to medical care, it is probably fair to assume the average human on planet earth has probably amassed a few thousand micromorts due to COVID.
11 Assume, when the pandemic began, I had 50 QALYs remaining (I was 36), traveled frequently (80% chance infection), a 0.3% risk of death (pre-vaccine, young, in good health, assuming some long-COVID risk), a loss of 20% of my QALY from lockdown (I miss friends and restaurants, but my wife and I had two laptops, two TVs, and enough economic status to order Chipotle when needed), and the ability to mitigate 90% of the risk by working remotely.
12 Since they’re already being developed and deployed with benign intent, albeit by companies without the best track records for keeping our data private.
13 In fact, the AGI’s objectives needn’t be malevolent, merely orthogonal to create an existential risk. Consider the example of an AGI whose aspirations are to maximize their number of paper clips (orthogonal to human conception of morality), but eventually gains the ability to convert the atoms of human beings (and anything else) into paper clips (instrumental convergence). These theses are fleshed out in greater detail among the rationalist community.
No one works with an agency just because they have a clever blog. To work with my colleagues, who spend their days developing software that turns your MVP into an IPO, rather than writing blog posts, click here (Then you can spend your time reading our content from your yacht / pied-a-terre). If you can’t afford to build an app, you can always learn how to succeed in tech by reading other essays.
How Will You Die?
Even if you can stop aging, you'll still die. The only question is what will kill you.
How do you imagine you will die? Statistically speaking, if you are not currently driving in rush-hour traffic at high speeds while texting or sitting on the serengeti with a pack of ravenous lions, the answer is probably cancer or heart disease. Both of which become increasingly likely as we age, and aging is inevitable.
Now imagine, for the sake of argument, that you do not age.1 However, in this world, you are just as mortal as you are today. The high-speed automobile accident, terminal cancer, or the roving bands of predators are all equally fatal. You simply will not age.
In this world, you will most certainly not live forever. The only question is, “how will you die?”
Micromorts
What has changed is the underlying probability distribution in question. A useful construct is the idea of a “micromort2,” a unit of risk that represents one chance in one million of death. We accept micromorts implicitly as we go about our lives.
For instance, driving ~250 miles carries with it one micromort. So too does living two months with a smoker, or crossing the street while drunk. With respect to driving, the back of the envelope math suggests that we may as well enjoy the convenience and incur the risk.
The probability of driving a vehicle n miles, and surviving, is given (approximately3) as:

The break-even point is easily found:

Unless you attempt the cannonball run challenge every day of your 100-year life, it is far more likely that something other than an automobile accident will kill you. Most likely, one of the diseases of aging. But in this world, where you do not age, drive enough, and ultimately, you perish.
Existential Risks
It becomes clear that in the world without aging, certain risks of a violent, immediate demise become increasingly probable. Stick around long enough, and you’re bound to be too close to a nuclear war. Every era’s Putin presents their own set of existential risks, and when analysts from Goldman Sachs begin prognosticating about the plausibility of economic collapse from a strategically-cornered Russia deploying nuclear weapons, we should heed the warning.
Exposure to carcinogens creates a cumulative risk that, over time, increases its probability of ultimately claiming your life. Will you eschew all sunlight, rather than accumulate the micromorts of UV rays?
Imagine that, each year, there is a probability pn of any nation with nuclear weapons falling into a state of disarray that begets a nuclear conflict. Then, let’s assume that the probability of you living close enough to the fallout to either perish in the ensuing war or receive a fatal dose of radiation is pr.
Now, the probability of you surviving y years without such an adverse event is given (approximately) by4:

Where n is the number of nations with nuclear arsenals.
Your break-even point looks like this:

Plug in some numbers. If n, pn, or pr grow to any significant size, suddenly, the risks of heart disease might seem mild in comparison. Let’s try some:

You probably won’t make it 385 years, but imagine if the parameters were slightly less sanguine. Add a few more nations with nuclear arsenals, a slightly more unstable world, and slightly more devastating weaponry…

Now suddenly, for a young person, the probability of nuclear war truncating their life becomes far closer to a coin flip.
In a certain world, and one that might not be as different from the current version than we would like to imagine, nuclear weapons are more likely to end our lives than cancer and heart disease.
Tradeoffs
In a world of natural senescence, in all likelihood we’ll all grow old and die long before any specific risk factor ends our life. This is why most folks do not meet their end in fiery automobile accidents or in nuclear holocausts. Most of us will succumb to the ravages of aging. As a result, concerning ourselves with those risks seems like a better allocation of our focus and resources.
But in a world without aging, suddenly, it is those existential risks that become the primary mortality risks.
Consider the global pandemic. When the pandemic began (pre-vaccine), you expected y quality-adjusted-life-years (QALYs) remaining before your death.7 Also imagine that the infection fatality rate of COVID, for you, is f.8
Living life with pre-pandemic cavalierness, you would have incurred a probability p9 of acquiring an infection whose expected loss, in QALYs would be simply y * f * p.
In other words, the decision to eschew all precautions (commentary about ethical obligations to prevent communal spread notwithstanding) removed yfp QALYs from your life.
So what was the cost associated with the prevention of this loss? Imagine that you behaved cautiously. For those among us fortunate enough to remain employed during the pandemic, one year of Zoom meetings, Amazon Prime deliveries, and fast-casual carry-in while binge-watching Tiger King was certainly a diminishment in quality-of-life, but also assuredly not the loss of a full QALY.
Let’s assume this pandemic life cost you some value, δ, QALYs/yr. This number differs as a function of introversion, geography, cohabitants, and one’s opinion of Jeff Bezos, but is definitely greater than 0 and less than 1.
Finally, let’s assume that living prudently did not wholly eliminate your risk of contracting COVID10 - you still needed to open those packages from Amazon, procure groceries, and depending on your employment, incur some personal risk. Let’s imagine you could reduce your risk by 𝜷 (close to 1 if you were a laptop professional living without contact with anyone, much lower as an essential worker, etc).
Finally, we can calculate some break-even points for the costs associated with a lockdown period of duration 𝜆.

Rearranging to solve for 𝜆 yields:

As a point of reference, I’m a relatively young, healthy (knock-wood), introverted professional who can sit in his spare bedroom on a laptop indefinitely. Let’s plug in some values.


In other words, locking down for any period less six months or so was an acceptable price to pay for diminishing personal risk, anything longer, and I ought to have resumed living life and incurred the inevitable risk.
Anti-Aging
Why engage in this hypothetical exercise that is certain to catalyze incendiary discussions of politics and debates over the parameters selected?
Because an observation of the formula above for 𝜆 reveals a clue about the choices we make implicitly. In a world where aging is no longer a concern, y becomes large (not infinite, you’ll still meet your demise eventually). In turn, 𝜆 increases. Paradoxically, when aging is no longer a concern, we should become more cautious rather than more brazen.
Why? Simply, we have more to lose!
Thus, we return to our discussions of micromorts and existential risks of nuclear disasters.
Of course, we do not live in a world without aging. Or do we?
Modern medicine and sanitation has continued to extend human life expectancy. Eliezer Yudkowsky notes the exponential pace at which machine intelligence increases. Perhaps protein folding and the mysteries of aging are just another mathematical problem that will fall after sufficient computational force is applied.
In fact, if Ray Kurzweil is correct, and the singularity is near, it is possible that one day, our consciousness will exist in a digital, rather than biological realm. In that case, “aging” is irrelevant - we’ll only be concerned with data corruption and the lack of sufficiently robust, distributed backup systems!
If these events occur in our lifetimes, then maybe, what will kill most of us will no longer be the traditional maladies of aging.
Rationality
None of the mathematics above suggest we ought to cancel our morning jogs, consume fast food en masse, and skip our annual physicals. If anything, the argument above suggests that even the possibility of reaching an aging-free paradigm justifies some additional concern. Moreover, it argues we ought to consider two disparate flavors of micromorts.
Some micromorts accrue in a cumulative manner. Others do not. To wit, every ~250 miles driven in an automobile are accompanied by a one-in-one-million chance of a grisly demise. However, the risk is non-cumulative. When you return from that 250-mile trip alive, it is akin to having pulled the trigger in Russian roulette and avoided the bullet. The risk is wholly averted (until the next car trip).
In contrast, when you spend the afternoon on the beach (UV radiation) or in the apartment of a rapacious chain-smoker, the fact that you are alive at its conclusion does not imply you’ve gotten off scot-free. Are the mutations that will cause some metastasis in fifty years beginning within your cells? The only available answers are probabilistic.
If you’re already 80, in a world of biological aging, a rationalist might argue that this is hardly of any concern. Incur those cumulative micromorts with impunity!
If you’re 30, in a world that might solve the problem of natural senescence in your lifetime, be especially careful with sources of mortality risk that accumulate, do not dissipate, and are difficult/impossible to measure.
Living & Giving
Given an optimistic view of the future (and optimism is rational), we might reconsider our expenditures of time, focus, and dollars. Attempting to minimize the risks from nuclear proliferation, unstable dictators, autocratic regimes deploying brain-computer-interfaces for nefarious purposes12, malevolent13 AGI, and other existential risks of which effective altruists warn might represent the greatest bang-for-our-buck.
And just maybe, when someone is willing to take risks with their own welfare (and in many cases, by extension, with yours as well) that you personally are not, console yourself with the recognition that implicitly, they are not simply optimistic regarding their short-term odds, but implicitly, pessimistic regarding the long-term prognosis of humanity and aging.
Spock may have inverted his famous adage. To prosper, one should first aspire to live long.
1 The proper term would be an organism lacking “senescence”
2 Not to be confused with “la petit mort,” which might contain a similar risk of death, but is considerably more fun than the other dangers listed hereafter.
3 Yes, I know that as you age, the probability of a car crash becoming fatal increases. Yes, I realize that not all stretches of 250 miles are created equal, nor are they necessarily wholly independent given conditions of the roads and the driver, etc. It’s a blog post. I’m approximating. Move along.
4 And so help me with respect to the assumptions of independence, constancy of nuclear blast radii, the number of countries with nuclear weapons, our capacity to treat radational born illnesses, etc, if you want to make more nuanced assumptions, have at it. I’m in a bed fighting off a fever typing this and I just don’t have that kind of energy.
5 There are currently nine nations with nuclear weapons, let’s assume a nation attacks another with nuclear weapons once per century (pn ~ 0.01), and about 2% of the globe will be destroyed or fatally-irradiated (pr ~ 0.02).
6 Raise the number of nations with nuclear arms to 15, and double the frequency of nuclear attacks and their impacts (pn ~ 0.02), (pr ~ 0.04).
7 Depending on your age, your health, your proximity to potential sources of economic activity and nuclear annihilation, etc.
8 Yes, I realize there is more to consider than simply the infection-fatality-rate, even before the vaccine. Yes, there are also risks of “long COVID” or other potential QALY-diminishing syndromes that linger, but this seems like a simplification that facilitates the argument to come. If you want to account for the long COVID risk, choose a larger number. I won’t tell anyone.
9 Depending on whether your pre-pandemic life consisted of the occasional meal with friends or regular indoor mosh pits.
10 Given the number of reported deaths due to COVID globally (~6M, which is almost certainly underreported, given China, Russia, and other autocracies refusal to report candidly), the fact that are still deaths yet to come from COVID and its future variants, and that there are presumably additional instances of excess mortality as a byproduct of economic hardship and loss of access to medical care, it is probably fair to assume the average human on planet earth has probably amassed a few thousand micromorts due to COVID.
11 Assume, when the pandemic began, I had 50 QALYs remaining (I was 36), traveled frequently (80% chance infection), a 0.3% risk of death (pre-vaccine, young, in good health, assuming some long-COVID risk), a loss of 20% of my QALY from lockdown (I miss friends and restaurants, but my wife and I had two laptops, two TVs, and enough economic status to order Chipotle when needed), and the ability to mitigate 90% of the risk by working remotely.
12 Since they’re already being developed and deployed with benign intent, albeit by companies without the best track records for keeping our data private.
13 In fact, the AGI’s objectives needn’t be malevolent, merely orthogonal to create an existential risk. Consider the example of an AGI whose aspirations are to maximize their number of paper clips (orthogonal to human conception of morality), but eventually gains the ability to convert the atoms of human beings (and anything else) into paper clips (instrumental convergence). These theses are fleshed out in greater detail among the rationalist community.