Most Lives Haven't Been Lived Yet
What if you lived your life, my life, everyone else's, and every human life that has ever been or ever will be?
When the New York Times publishes an op-ed about longtermism, it gathers some eyeballs. The article begins with the thought experiment wherein we imagine that we are not fated to experience merely our own life, but rather the lives of every human that has ever lived, is currently alive, or will ever live.
Beginning 300,000 years ago somewhere in Africa and proceeding through time to reach the present and future, they deploy a clean back-of-the-envelope calculation to estimate that roughly 100 billion souls have wandered the planet. Assuming roughly forty years for the average lifespan (perhaps a little generous, but a non-trivial proportion of all human births did occur in the 20th and 21st centuries, so perhaps not1), this would imply ~4 trillion years of human lives.
Back Of Envelope
4 trillion sounds like a lot, but like all numerical values, it requires context and juxtaposition. So let’s define a few parameters, then do some math:
𝜷 = Annual growth rate of human births
𝛾 = Annual growth rate of human lifespans
𝜅 = Annual growth rate of quality-adjusted-life-year ratio2
B0 = Current number of human births, annually
L0 = Current human life expectancy (at birth)
Q0 = 1 (Current number of quality adjusted life years per year)
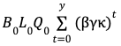
Therefore, this year, the number of human QALYs created is calculated as:

And therefore, over the next y years, the total number of QALYs created looks like this:

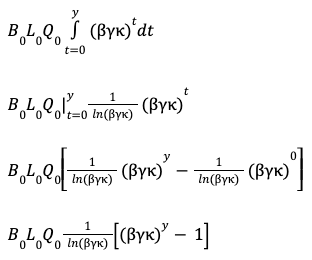
Which simplifies to:

Of course, these changes occur continuously, which means it’s time to resurrect a little calculus:

Past vs. Future Generations
The NYT asserted that 4 trillion human years have been lived. True enough, but those are clearly assessed as less than 4 trillion QALYs by modern standards. The cave-dweller didn’t get their berries delivered via Amazon prime or receive neosporin-covered bandages when a rival tribe threw rocks at their encampment. Let’s say, for the sake of a dramatically-oversimplified argument, that ~1 trillion QALYs (by modern standards) have been lived.
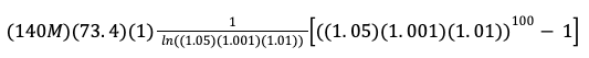
Next, let’s put in some parameters into our equation above and see how many QALYs will be birthed in the next 100 years3:

The above totals over 67 trillion. If we consider 200 years instead of 100, the number exceeds 260 quadrillion (or over 26,000 trillion).
The TL/DR for the less mathematically-inclined is that the overwhelming majority of human quality-adjusted life years are still to come.
Existential Risk
The same NYT article notes that experts handicap the odds of a third world war by 2070 at over 20 percent. Such wars contain the risks of a nuclear holocaust that forecloses upon the vast majority of humanity’s QALYs.
If we are all to imagine that humanity is one cohesive life experience, rather than reducing our focus to our own4, then there are really only two kinds of risks. Those that end the game and those that do not.5
Climate change, to the extent that it renders regions of the globe less inhabitable or Malthusian traps of population explosions may diminish quality-of-life (lower 𝜅) and potentially, curtail the birth rate (lower 𝛽), but a malevolent AI that converts the totality of human biomass into paper clips eliminates any future life expectancy (𝛾 → 0)
The equations above argue that, at any point, so long as the population is growing (𝛽 > 1), lives are lengthening (𝛾 > 1), and quality-of-life is generally trending in a positive direction (𝜅 > 1), most QALYs lie ahead, not behind us. As a consequence, effective altruists, optimists, and longtermists have all the mathematical artillery required to argue that existential risks are almost assuredly neglected problems.
Humanity has enjoyed its first trillion QALYs. Doesn’t it deserve the opportunity to enjoy the next hundred trillion?
1 The world’s population approaches 8 billion, the majority of whom weren’t yet alive 40 years ago, when life expectancy was still quite a bit above 40. We know that roughly 10 billion births occurred in the 20th century and another 3 billion or so have occurred since 2000.
2 We’re going to assume that life improves as time elapses. After all, optimism is rational. Therefore, one year of life in 2100 should involve a higher number of QALYs than one in 2000. After all, 100 years ago, a year in the life didn’t involve antibiotics, automobiles, iPhones, or Netflix binges (actually, not sure that last one is a positive, but I digress).
3 5% annual population growth, 0.1% life expectancy growth due to decreased mortality (though who knows what happens if we reach the singularity!), 1% improvement in QALYs to be enormously conservative, though life improves far faster, especially if research aspires to make improvements on the logarithmic scale! 140 million births annually (at present), 73.4 yrs for global life expectancy. Also note, this figure includes QALYs that occur more than 100 years hence in the lives in individuals borne within one century (e.g. born 90 years from today, lives to be more than 10) and excludes individuals currently alive today (some of their QALYs exist in the 1 trillion figure, and the remainders of their lives, though meaningful, are not considered for reasons of simplification).
4 E.g. part 4 of Derek Parfit’s “Reasons and Persons.”
5 Sure, the “repugnant conclusion” lingers, but let’s not quibble.
No one works with an agency just because they have a clever blog. To work with my colleagues, who spend their days developing software that turns your MVP into an IPO, rather than writing blog posts, click here (Then you can spend your time reading our content from your yacht / pied-a-terre). If you can’t afford to build an app, you can always learn how to succeed in tech by reading other essays.
Most Lives Haven't Been Lived Yet
What if you lived your life, my life, everyone else's, and every human life that has ever been or ever will be?
When the New York Times publishes an op-ed about longtermism, it gathers some eyeballs. The article begins with the thought experiment wherein we imagine that we are not fated to experience merely our own life, but rather the lives of every human that has ever lived, is currently alive, or will ever live.
Beginning 300,000 years ago somewhere in Africa and proceeding through time to reach the present and future, they deploy a clean back-of-the-envelope calculation to estimate that roughly 100 billion souls have wandered the planet. Assuming roughly forty years for the average lifespan (perhaps a little generous, but a non-trivial proportion of all human births did occur in the 20th and 21st centuries, so perhaps not1), this would imply ~4 trillion years of human lives.
Back Of Envelope
4 trillion sounds like a lot, but like all numerical values, it requires context and juxtaposition. So let’s define a few parameters, then do some math:
𝜷 = Annual growth rate of human births
𝛾 = Annual growth rate of human lifespans
𝜅 = Annual growth rate of quality-adjusted-life-year ratio2
B0 = Current number of human births, annually
L0 = Current human life expectancy (at birth)
Q0 = 1 (Current number of quality adjusted life years per year)
Therefore, this year, the number of human QALYs created is calculated as:

And therefore, over the next y years, the total number of QALYs created looks like this:

Which simplifies to:

Of course, these changes occur continuously, which means it’s time to resurrect a little calculus:

Past vs. Future Generations
The NYT asserted that 4 trillion human years have been lived. True enough, but those are clearly assessed as less than 4 trillion QALYs by modern standards. The cave-dweller didn’t get their berries delivered via Amazon prime or receive neosporin-covered bandages when a rival tribe threw rocks at their encampment. Let’s say, for the sake of a dramatically-oversimplified argument, that ~1 trillion QALYs (by modern standards) have been lived.
Next, let’s put in some parameters into our equation above and see how many QALYs will be birthed in the next 100 years3:

The above totals over 67 trillion. If we consider 200 years instead of 100, the number exceeds 260 quadrillion (or over 26,000 trillion).
The TL/DR for the less mathematically-inclined is that the overwhelming majority of human quality-adjusted life years are still to come.
Existential Risk
The same NYT article notes that experts handicap the odds of a third world war by 2070 at over 20 percent. Such wars contain the risks of a nuclear holocaust that forecloses upon the vast majority of humanity’s QALYs.
If we are all to imagine that humanity is one cohesive life experience, rather than reducing our focus to our own4, then there are really only two kinds of risks. Those that end the game and those that do not.5
Climate change, to the extent that it renders regions of the globe less inhabitable or Malthusian traps of population explosions may diminish quality-of-life (lower 𝜅) and potentially, curtail the birth rate (lower 𝛽), but a malevolent AI that converts the totality of human biomass into paper clips eliminates any future life expectancy (𝛾 → 0)
The equations above argue that, at any point, so long as the population is growing (𝛽 > 1), lives are lengthening (𝛾 > 1), and quality-of-life is generally trending in a positive direction (𝜅 > 1), most QALYs lie ahead, not behind us. As a consequence, effective altruists, optimists, and longtermists have all the mathematical artillery required to argue that existential risks are almost assuredly neglected problems.
Humanity has enjoyed its first trillion QALYs. Doesn’t it deserve the opportunity to enjoy the next hundred trillion?
1 The world’s population approaches 8 billion, the majority of whom weren’t yet alive 40 years ago, when life expectancy was still quite a bit above 40. We know that roughly 10 billion births occurred in the 20th century and another 3 billion or so have occurred since 2000.
2 We’re going to assume that life improves as time elapses. After all, optimism is rational. Therefore, one year of life in 2100 should involve a higher number of QALYs than one in 2000. After all, 100 years ago, a year in the life didn’t involve antibiotics, automobiles, iPhones, or Netflix binges (actually, not sure that last one is a positive, but I digress).
3 5% annual population growth, 0.1% life expectancy growth due to decreased mortality (though who knows what happens if we reach the singularity!), 1% improvement in QALYs to be enormously conservative, though life improves far faster, especially if research aspires to make improvements on the logarithmic scale! 140 million births annually (at present), 73.4 yrs for global life expectancy. Also note, this figure includes QALYs that occur more than 100 years hence in the lives in individuals borne within one century (e.g. born 90 years from today, lives to be more than 10) and excludes individuals currently alive today (some of their QALYs exist in the 1 trillion figure, and the remainders of their lives, though meaningful, are not considered for reasons of simplification).
4 E.g. part 4 of Derek Parfit’s “Reasons and Persons.”
5 Sure, the “repugnant conclusion” lingers, but let’s not quibble.